Rumus Setengah Sudut
Digunakan untuk menentukan nilai fungsi trigonometri sebuah sudut bukan sudut yang istimewa tanpa menggunakan kalkulator maupun alat bantu hitung lainnya. Berikut ini akan menjelaska.

Rumus Fungsi Trigonometri Sudut Pertengahan
Rumus yang kita gunakan adalah rumus cosinus sudut rangkap.

Rumus setengah sudut. Perhatikan cara menemukan rumus setengah sudut dari Langkah dibawah ini. Rumus Sudut Rangkap Lengkap Dengan Contoh Soal. Sama seperti sinus setengah sudut rumus cosinus setengah sudut juga diturunkan dari rumus cosinus sudut ganda.
Untuk mencari rumus setengah sudut kita menggunakan bantuan rumus sudut rangkap. Berarti anda sudah paham 6 rumus yatolong diingat. Penggunaan rumus tan ½α untuk menentukan nilai trigonometri suatu sudut dapat dikaitkan dengan identitas-identitas trigonometri yang telah anda pelajari.
Dengan memakai sudut-sudut relasi kita mampu menghitung nilai perbandingan pada trigonometri untuk sudut pada kuadran lainnya bahkan untuk sudut yang lebih dari 360 termasuk juga sudut negatif. Sekarang untuk sudut 2A kita ganti jadi P. Rumuscoid Setelah sebelumnya kita membahas tentang rumus volume silinder tabung kali ini kita akan membahas materi tentang rumus keliling setengah lingkaran kita akan jabarkan secara detail dan lengkap dari pengertian lingkaran pengertian setengah lingkaran sifat sifat unsur unsur rumus dan contoh soal dari keliling setengah lingkaran.
Rumus perkalian sinus dan kosinus. Video ini berisi materi dan pembahasan soal Rumus Trigonometri Setengah Sudut Bagian 3 RumusTrigonometri SetengahSudut NuralamsyahSalim. Setelah membahas rumus sin ½α cos ½α dan tan ½α anda akan melihat.
Rumus Trigonometri Matematika Pembahasan dan ulasan tentang trigonometri matematika ialah salah satu rumus matematika yang berhadapan satu sama lain dengan sudut segitiga dan fungsi trigonometriAdapun untuk rumus trigonometri sendiri sebenarnya hampir sama dengan rumus geometri matematika karena keduanya mempunyai hubungan dan bisa dikatakan bahwa. Penggunaan rumus sin ½α untuk menentukan nilai trigonometri suatu sudut dapat dikaitkan dengan identitas-identitas trigonometri yang telah anda pelajari. Untuk pertemuan PJJ tanggal 7 September 2020 akan dipelajari tentang Rumus Trigonometri sudut ganda dan Trigonometri Setengah Sudut.
Berikut ini akan menjelaska tentang rumus sudut rangkap lengkap beserta contoh soalnya. Contoh dan pembahasan program linier juli 4 maret 1 januari 1 2012 5 oktober 5. Dan penjelasan tentang rumus Sudut Rangkap Fungsi Tangen Sudut Rangkap Fungsi Sinus Sudut Rangkap Fungsi Cosinus Untuk lebih jelasnya sima pembahasan dibawah ini.
Karena tangen merupakan perbandingan antara sinus dan cosinus maka anda dapat memanfaatkan nilai sinus. By Azzahra Rahmah Posted on February 26 2020. Penggunaan rumus cos ½a untuk menentukan nilai trigonometri suatu sudut dapat dikaitkan dengan identitas-identitas.
Sebelumnya Anda sudah mempelajari bagaimana mendapatkan rumus sin jumlah dan selisih dua sudut cos jumlah dan selisih dua sudut serta tangen jumlah dan selisih dua sudut. Berikut ini akan menjelaska tentang rumus sudut rangkap lengkap beserta contoh soalnya. Rumus sudut rangkap Biasa dipakai untuk mencari nilai besar sudut trigonometri di luar sudut istimewa.
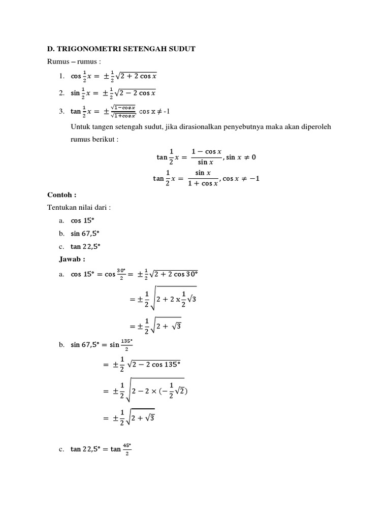
Berikut ini adalah turunan dari fungsi fungsi trigonometri dalam variabel sudut ax b dimana a dan b adalah bilangan real dengan a0. Selanjutnya kita akan mencoba membahas soal soal yang berkaitan dengan rumus trigonometri untuk setengah sudut sin a cos a dan tan a. Rumus fungsi trigonometri sudut pertengahan digunakan untuk menentukan nilai fungsi trigonometri suatu sudut jika diketahui nilai fungsi trigonometri dari dua kali sudutnya.
Rumus tangen setengah sudut diturunkan dari rumus sinus dan cosinus setengah sudut. Rumus trigonometri untuk sudut setengah. Rumus trigonometri setengah sudut.
Hubungan antara sinus cosinus dan tangen akan terlihat jelas dalam rumus trigonometri setengah sudut. Trigonometri Rumus Setengah Sudut Written By AI Airyn Blog. Rumus trigonometri untuk sudut setengah.
About Press Copyright Contact us Creators Advertise Developers Terms Privacy Policy Safety How YouTube works Test new features Press Copyright Contact us Creators. Selanjutnya kita akan mencoba membahas soal-soal yang berkaitan dengan rumus trigonometri untuk setengah sudut sin ½a cos ½a dan tan ½a. Rumus sudut rangkap Biasa dipakai untuk mencari nilai besar sudut trigonometri di luar sudut istimewa.
Rumus tangen sudut pertengahan rumus tangen sudut pertengahan pertama. Contohnya jika diketahui sinx dan ditanyakan sin12x atau diketahui cos2x ditanyakan cosx. Penggunaan rumus cos ½α untuk menentukan nilai trigonometri suatu sudut dapat dikaitkan dengan identitas-identitas trigonometri yang telah anda pelajari.
Pada dasarnya rumus sinus setengah sudut diturunkan dari rumus cosinus sudut ganda. Rumus-rumus trigonometri jumlah dan selisih dua sudut. 15082010 17082010 nurshodiq Terima kasih buat sdr ECA dan pembaca yang lain yang sudah memberi komentar pada tulisan di blog ini dibawah ini kami mencoba membantu memberi sedikit penjelasan rumus trigonometri sudut setengah.
Rumus trigonometri memiliki banyak variasi diantaranya ialah rumus setengah sudut trigonometri atau sering disebut juga rumus trigonometri sudut pertengahan. Trigonometri dari bahasa yunani trigonon tiga sudut dan metro mengukur adalah sebuah cabang matematika yang berhadapan dengan sudut segi tiga dan fungsi trigonometri kseperti sinus cosinus dan tangen. Substitusi kan ke rumus.
Jika f x sin x maka f x cos x. Contoh soal dan jawaban rumus trigonometri setengah sudut.

Trigonometri Identitas Rumus Turunan Tabel Contoh Soal

Sharinggan Contoh Soal Trigonometri Setengah Sudut

Rumus Jumlah Dan Selisih Sinus Dan Cosinus By Ahmad Isroil Unacademy Plus

Rumus Trigonometri Sudut Pertengahan Idschool

Soal Dan Pembahasan Trigonometri Tangen Setengah Sudut

Sharinggan Contoh Soal Trigonometri Setengah Sudut

Rumus Trigonometri Dan Fungsi Trigonometri Matematika

Posting Komentar untuk "Rumus Setengah Sudut"